能把王菲女儿 逼疯 的英语论文 到底要怎么写 学术 雅思 网易订阅
英語論文やプレゼンでは論理的に文章を進めることが基本です。 ですのでand thenのような接続詞は本来省略することができます。 and thenを省略しても文意は伝わるように文章を構成するようにしましょう。 and then を then にする どうしてもand thenを入れたい場合はandを省略して Thenを使いましょう。 Thenは文頭に置いても構いません。 thenは接続詞ではなく副詞です。 副詞は接続詞とGoogle の無料サービスなら、単語、フレーズ、ウェブページを英語から 100 以上の他言語にすぐに翻訳できます。
Then 英語 論文
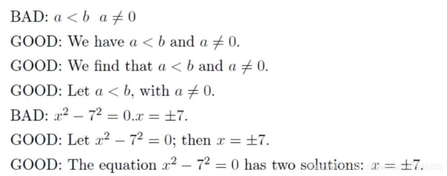
Then 英語 論文- 特に、英語論文などのフォーマルな文章では用いることはできません。 論文英語では、「and」や「then」、「so」を文頭に用いることができないのであれば、どのように文と文を接続すればいいのでしょうか? 実は、代わりに代用可能な、便利な英語表現法が存在するんです。 英語論文で「そして」を表現する方法 論文を書く上での接続詞の役割とは ① 帰結の「そして」 therefore「日本語の論文でも英語論文でも、基本的に論文では口語的な表現は避けるべきである。 Leggett氏も、文章を "and", "but", "so" ではじめてはいけないと、また、"too"で終えてはいけないと書いている。 "and" の代わりに "moreover", "further"。 "but" の代わりに "however", "nevertheless"。 "so" の代わりに "therefore", "hence"。 を用いることを薦めている。 一方で、あまりに難しい言葉ばかりを
泛览天下 阅读 看尽天下事
よく論文と小説で使われている「そして」は英語で「and then」「then」と「and」で表現することができます。 例文: 「油をフライパンに注いで、そして玉ねぎを入れます」 →「Pour oil into the frying pan, and then put in the onions」11 「英語論文」の書き方セミナー(基礎編)」(能率協会) 12 「英語論文」の書き方セミナー(応用編)」(能率協会) その他:工業英語協会でのセミナーなど。 ***** 興野先生は弊社でも論文専門の翻訳者としてご活躍されています。英語論文で見られる良くない表現 この文書では,大学院生が最初の英語論文を書く際にありがちな,良くない英語表現をまとめています. set up 「落とし入れる,嵌める」という意味があるせいか,あまり使われないような気がする.
Then だけはちょっと特別. 数学の論文では then は,ほぼ「それなら (in that case, if so)」の意味で使われる 文頭に Then をおくと,「その時」の意味も出てきて曖昧になる. 日本語の「そこで〜」の意味で使うとほぼ誤用になる,ということが then はその後にコンマを書かないことでも例外的. equal は「量(演算の対象になりうるもの)」にしか使えない,とパケット (Chapter 55) に書いて 例えばの英語表現ー基本編 まず、例えばの基本表現、for exampleとfor instanceの2つを紹介します。 for exampleの使い方 for exampleといえば、みなさんご存知の例えばや例を表すフレーズですよね。 for exampleは、話し言葉(以下、口語と表記)、書き言葉(以下、文語と表記)のいずれでも使われる最も英語の論文 ならば スペル 「Then, we will see that A implies B」「Then we can check that A implies B」 などの文章も口語研究発表では滑らかなつなぎに聞こえますが、 論文では「Then A implies B」「Thus A implies B」くらいでよいでしょう。
Then 英語 論文のギャラリー
各画像をクリックすると、ダウンロードまたは拡大表示できます
Emerald Research With Impact Presented By Www Emeraldinsight | ![]() Emerald Research With Impact Presented By Www Emeraldinsight | ![]() Emerald Research With Impact Presented By Www Emeraldinsight |
![]() Emerald Research With Impact Presented By Www Emeraldinsight | ![]() Emerald Research With Impact Presented By Www Emeraldinsight | ![]() Emerald Research With Impact Presented By Www Emeraldinsight |
![]() Emerald Research With Impact Presented By Www Emeraldinsight | ![]() Emerald Research With Impact Presented By Www Emeraldinsight | ![]() Emerald Research With Impact Presented By Www Emeraldinsight |
![]() Emerald Research With Impact Presented By Www Emeraldinsight | ![]() Emerald Research With Impact Presented By Www Emeraldinsight | Emerald Research With Impact Presented By Www Emeraldinsight |
![]() Emerald Research With Impact Presented By Www Emeraldinsight | Emerald Research With Impact Presented By Www Emeraldinsight | ![]() Emerald Research With Impact Presented By Www Emeraldinsight |
![]() Emerald Research With Impact Presented By Www Emeraldinsight | ![]() Emerald Research With Impact Presented By Www Emeraldinsight | Emerald Research With Impact Presented By Www Emeraldinsight |
![]() Emerald Research With Impact Presented By Www Emeraldinsight | ![]() Emerald Research With Impact Presented By Www Emeraldinsight | ![]() Emerald Research With Impact Presented By Www Emeraldinsight |
![]() Emerald Research With Impact Presented By Www Emeraldinsight | ![]() Emerald Research With Impact Presented By Www Emeraldinsight | Emerald Research With Impact Presented By Www Emeraldinsight |
![]() Emerald Research With Impact Presented By Www Emeraldinsight | ![]() Emerald Research With Impact Presented By Www Emeraldinsight | ![]() Emerald Research With Impact Presented By Www Emeraldinsight |
![]() Emerald Research With Impact Presented By Www Emeraldinsight | Emerald Research With Impact Presented By Www Emeraldinsight | ![]() Emerald Research With Impact Presented By Www Emeraldinsight |
![]() Emerald Research With Impact Presented By Www Emeraldinsight | Emerald Research With Impact Presented By Www Emeraldinsight | ![]() Emerald Research With Impact Presented By Www Emeraldinsight |
![]() Emerald Research With Impact Presented By Www Emeraldinsight | Emerald Research With Impact Presented By Www Emeraldinsight | Emerald Research With Impact Presented By Www Emeraldinsight |
Emerald Research With Impact Presented By Www Emeraldinsight | ![]() Emerald Research With Impact Presented By Www Emeraldinsight | Emerald Research With Impact Presented By Www Emeraldinsight |
![]() Emerald Research With Impact Presented By Www Emeraldinsight | ![]() Emerald Research With Impact Presented By Www Emeraldinsight | ![]() Emerald Research With Impact Presented By Www Emeraldinsight |
![]() Emerald Research With Impact Presented By Www Emeraldinsight | ![]() Emerald Research With Impact Presented By Www Emeraldinsight | Emerald Research With Impact Presented By Www Emeraldinsight |
![]() Emerald Research With Impact Presented By Www Emeraldinsight | ![]() Emerald Research With Impact Presented By Www Emeraldinsight | Emerald Research With Impact Presented By Www Emeraldinsight |
![]() Emerald Research With Impact Presented By Www Emeraldinsight | Emerald Research With Impact Presented By Www Emeraldinsight | ![]() Emerald Research With Impact Presented By Www Emeraldinsight |
![]() Emerald Research With Impact Presented By Www Emeraldinsight | ![]() Emerald Research With Impact Presented By Www Emeraldinsight | ![]() Emerald Research With Impact Presented By Www Emeraldinsight |
![]() Emerald Research With Impact Presented By Www Emeraldinsight | ![]() Emerald Research With Impact Presented By Www Emeraldinsight | ![]() Emerald Research With Impact Presented By Www Emeraldinsight |
![]() Emerald Research With Impact Presented By Www Emeraldinsight | ![]() Emerald Research With Impact Presented By Www Emeraldinsight | ![]() Emerald Research With Impact Presented By Www Emeraldinsight |
Emerald Research With Impact Presented By Www Emeraldinsight | ![]() Emerald Research With Impact Presented By Www Emeraldinsight | ![]() Emerald Research With Impact Presented By Www Emeraldinsight |
![]() Emerald Research With Impact Presented By Www Emeraldinsight | ![]() Emerald Research With Impact Presented By Www Emeraldinsight | ![]() Emerald Research With Impact Presented By Www Emeraldinsight |
![]() Emerald Research With Impact Presented By Www Emeraldinsight | ![]() Emerald Research With Impact Presented By Www Emeraldinsight | ![]() Emerald Research With Impact Presented By Www Emeraldinsight |
![]() Emerald Research With Impact Presented By Www Emeraldinsight | ![]() Emerald Research With Impact Presented By Www Emeraldinsight | ![]() Emerald Research With Impact Presented By Www Emeraldinsight |
![]() Emerald Research With Impact Presented By Www Emeraldinsight | ![]() Emerald Research With Impact Presented By Www Emeraldinsight | Emerald Research With Impact Presented By Www Emeraldinsight |
![]() Emerald Research With Impact Presented By Www Emeraldinsight | Emerald Research With Impact Presented By Www Emeraldinsight | Emerald Research With Impact Presented By Www Emeraldinsight |
Emerald Research With Impact Presented By Www Emeraldinsight | ![]() Emerald Research With Impact Presented By Www Emeraldinsight | ![]() Emerald Research With Impact Presented By Www Emeraldinsight |
Emerald Research With Impact Presented By Www Emeraldinsight | ![]() Emerald Research With Impact Presented By Www Emeraldinsight | Emerald Research With Impact Presented By Www Emeraldinsight |
![]() Emerald Research With Impact Presented By Www Emeraldinsight | Emerald Research With Impact Presented By Www Emeraldinsight | ![]() Emerald Research With Impact Presented By Www Emeraldinsight |
![]() Emerald Research With Impact Presented By Www Emeraldinsight | Emerald Research With Impact Presented By Www Emeraldinsight | ![]() Emerald Research With Impact Presented By Www Emeraldinsight |
Emerald Research With Impact Presented By Www Emeraldinsight | ![]() Emerald Research With Impact Presented By Www Emeraldinsight | ![]() Emerald Research With Impact Presented By Www Emeraldinsight |
![]() Emerald Research With Impact Presented By Www Emeraldinsight | ![]() Emerald Research With Impact Presented By Www Emeraldinsight | Emerald Research With Impact Presented By Www Emeraldinsight |
![]() Emerald Research With Impact Presented By Www Emeraldinsight | ![]() Emerald Research With Impact Presented By Www Emeraldinsight | Emerald Research With Impact Presented By Www Emeraldinsight |
![]() Emerald Research With Impact Presented By Www Emeraldinsight |
You need to obtain these document by then その時までに君はこれらの書類を取得しておく必要がある by that time, by the time を用いた例文 by the time は上の by then と大きな違いはないので、同じように使うことができます。 個人的には、 then を使うより that time, the time を用いたほうが、「「その時」の「その」が明確」である印象 を受けます。 それまでの文脈に「その」Afterwards, later on, subsequently, followed by など 日常会話及び英作文で必ず使う接続詞をリストアアップして紹介します。 目次 「〜に続いて」を英語でいうと? 「~に続いて」を意味する followed by 「〜の後」を意味する then / and then 「それから」を意味する
Incoming Term: then 英語 論文,













































































0 件のコメント:
コメントを投稿